• Предмет: Математика
  • Автор: adolfblu
  • Вопрос задан 10 лет назад

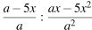
Най­ди­те зна­че­ние вы­ра­же­ния при a = −74, x = −10.

Приложения:

Ответы

Ответ дал: kristinams
0
2 Дробь переварачиваем и получается a-5x/a*a²/ax-5x², выносим из 2 дроби X за скобку⇒, a-5x/a*a²/x(a-5x) сокращаем остается, a/x подставляем значения -74/-10=7,4
Вас заинтересует