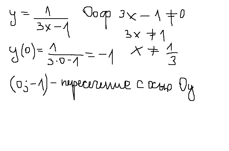
не строя график функции ,найдите координаты точек пересечения графика функции с осями координат Ох и Оу у=1/3х-1
Ответы
Ответ дал:
0
С осью Ох график функции пересекаться не будет, т.к чтобы график пересекал ось Ох нужно, чтобы у был равен 0, а дробь равна нулю когда числитель равен 0, а знаменатель не равен нулю; в числителе стоит 1, поэтому дробь уже не может равна быть 0, а значит и пересекать ось Ох
Приложения:

Вас заинтересует
2 года назад
7 лет назад
7 лет назад
9 лет назад
9 лет назад
10 лет назад