• Предмет: Алгебра
  • Автор: Анна285
  • Вопрос задан 11 лет назад

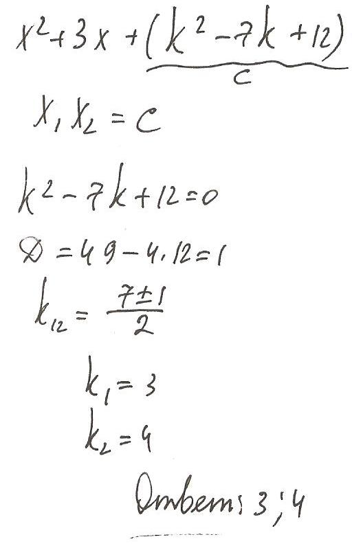
х² + 3х +( k² - 7k + 12)=0, при каких k   х₁× х₂=0

 

помогите пожалуйста

Ответы

Ответ дал: Artem112
0

надеюсь будет понятно....

Приложения:
Вас заинтересует