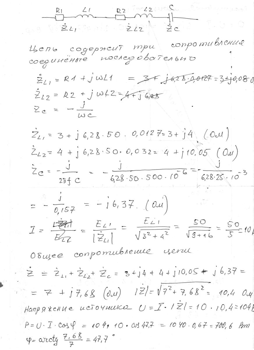
В емкость синусоидального переменного тока (рис. 5) включены последовательно две катушки и емкость. Параметры катушек и емкости известны: r1, L1, r2, L2
С. Кроме того, известна возникающая э.д.с. ЕL1 Найти напряжение источника, полную активную и реактивную мощности цепи, сдвиги фаз на участках а с и с е. Построить топографическую векторную диаграмму
R1=3 ом
R2=4 ом
El1=50В
L1=0,0127 Гн
L2=0,032 Гн
C= 500 мкФ
Частота переменного тока = 50 Гц
Ответы
Ответ дал:
0
ВСЁ ЧТО УСПЕЛ -------------------------
Приложения:


Вас заинтересует
2 года назад
2 года назад
10 лет назад
10 лет назад
10 лет назад