Ответы
Ответ дал:
0
2)3 ПО СВОЙСТВУ ВНЕШНЕГО УГЛА
3)(-2)^2+(3)^2=4^2 (^2)-это в квадрате x² + y² = r² это ур-е окружности
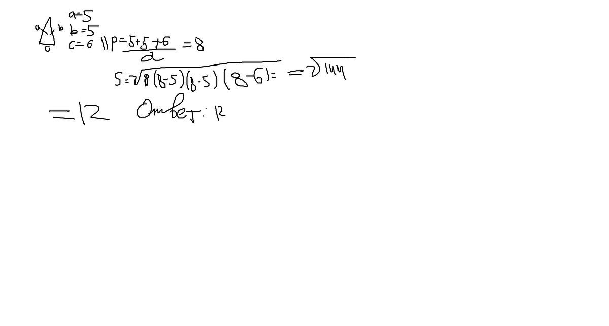
4)очень легкое по формуле Герона см на рисунок там написано
3)(-2)^2+(3)^2=4^2 (^2)-это в квадрате x² + y² = r² это ур-е окружности
4)очень легкое по формуле Герона см на рисунок там написано
Приложения:

Вас заинтересует
2 года назад
2 года назад
9 лет назад
9 лет назад
10 лет назад