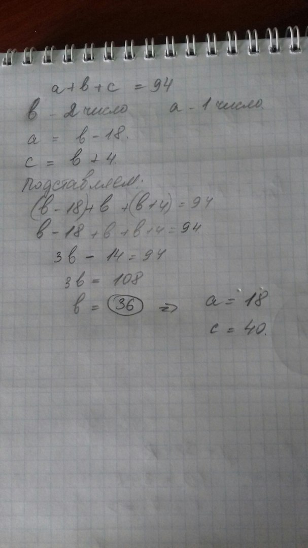
Сумма трех чисел равна 94.Первое число на 18 меньше второго, а третье число на четыре больше второго . Найди эти числа.
Ответы
                                            Ответ дал: 
                                                                                    
                                        
                                            
                                                
                                                
                                                
                                                    0
                                                
                                            
                                        
                                    
                                        Пожалуйста, проверяйте!
                                    
                                                Приложения:
                     
                            Вас заинтересует
                
                        2 года назад
                    
                
                        7 лет назад
                    
                
                        7 лет назад
                    
                
                        10 лет назад
                    
                
                        10 лет назад