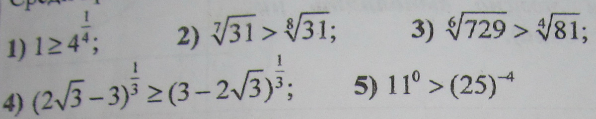
Среди приведенных утверждений укажите номера верных. Помогите пожалуйста, если можно, то с объяснением
Приложения:

Ответы
Ответ дал:
0
..............................
Приложения:

Вас заинтересует
2 года назад
2 года назад
7 лет назад
7 лет назад
9 лет назад
9 лет назад
10 лет назад