Ответы
Ответ дал:
0
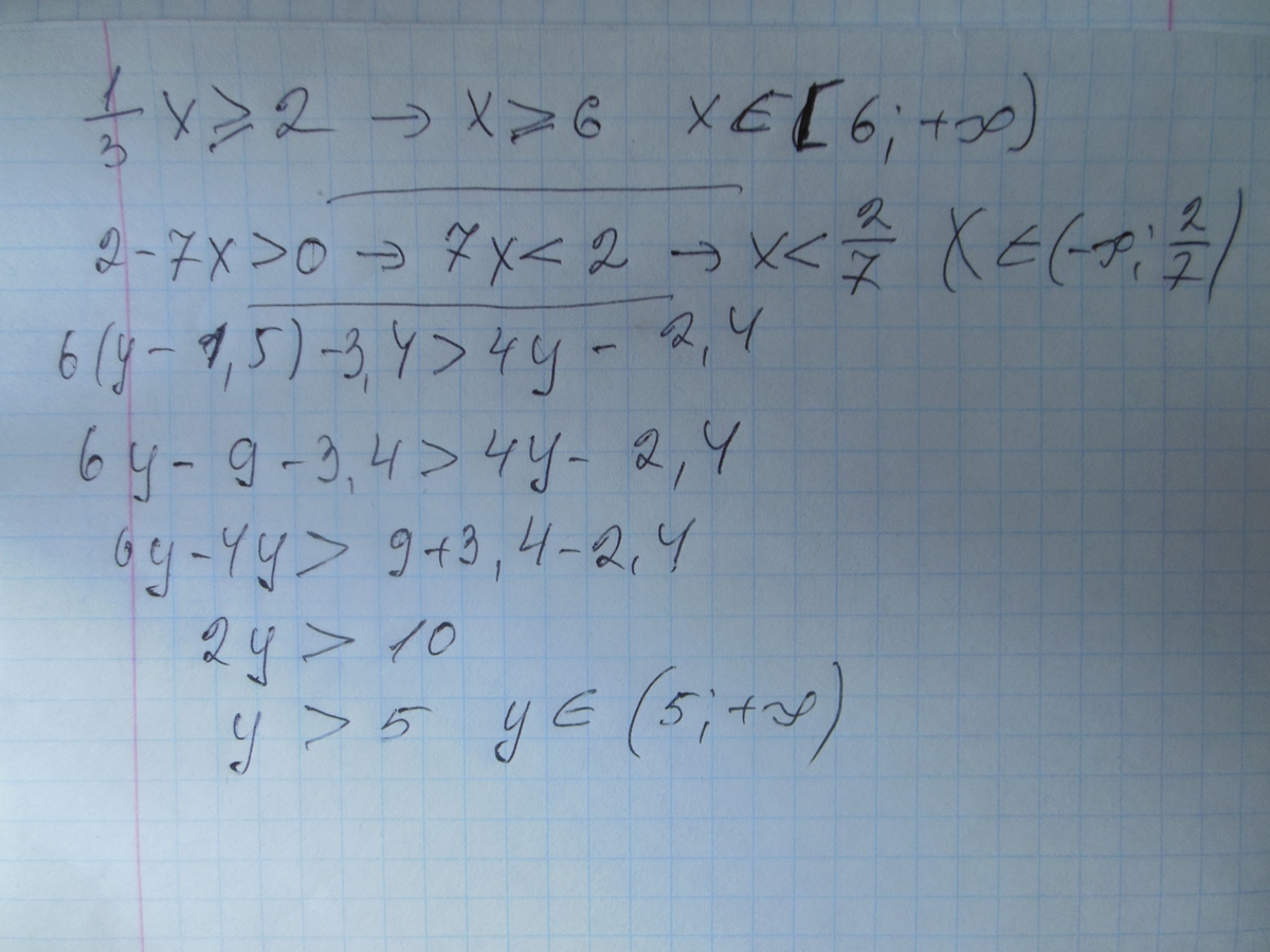
Смотри фото, там все решения
Приложения:

Ответ дал:
0
в в) нужно раскрыть скобки умножив 6 на у и на 1.5( то есть на каждое число, которое находится в скобке ) потом привести подобные слагаемые , перенести все что без x в правую часть и снова разделить правую часть на коэффицент y
Ответ дал:
0
можете это написать на листке а ту тут не понятно
Ответ дал:
0
отмечу как лучший
Ответ дал:
0
всё лучший
Ответ дал:
0
5 мин
Ответ дал:
0
!!!!!!!!!!!!!!!!!!!!!!!!!!!!!!!!
Приложения:

Ответ дал:
0
это одна третья!
Ответ дал:
0
нет я знаю как разлажить её
Ответ дал:
0
можешь там всё разложить
Ответ дал:
0
каждые числа по действиям а то не понятно
Ответ дал:
0
я отмечу как лучший
Вас заинтересует
2 года назад
2 года назад
7 лет назад
7 лет назад
10 лет назад
10 лет назад
10 лет назад