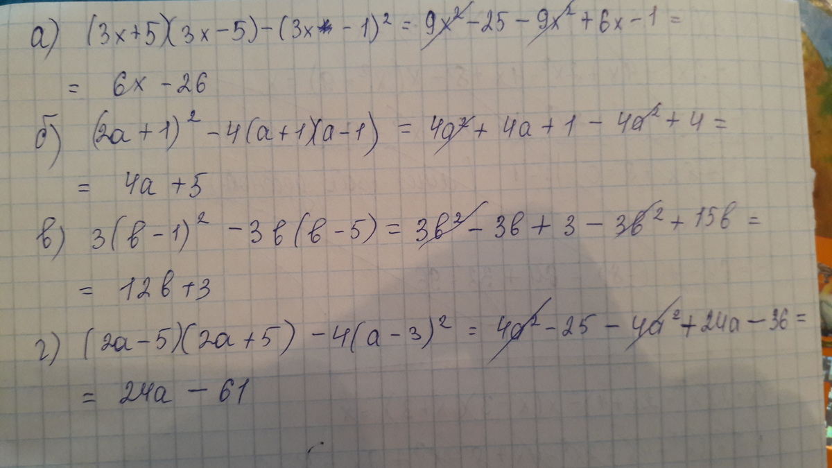
Упростите выражение:
а) (3x+5)(3x-5)-(3x-1)^2
б) (2a+1)^2-4(a+1)(a-1)
в) 3(b-1)^2-3b(b-5)
г) (2a-5)(2a+5)-4(a-3)^2
Ответы
Ответ дал:
0
.............................................
Приложения:

Вас заинтересует
2 года назад
2 года назад
7 лет назад
9 лет назад
9 лет назад
10 лет назад