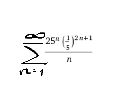
Исследовать ряд на сходимость.
Я не знаю какой признак использовать: по признаку Даламбера получается предел равным 1, то есть вопрос о сходимости ряда остается открытым, а по необходимому признаку предел равен нулю. Что делать? Помогите пожалуйста!
{99 баллов}
Приложения:

Ответа на этот вопрос пока нет. Попробуйте найти его через форму поиска.
Вас заинтересует
2 года назад
2 года назад
7 лет назад
9 лет назад
9 лет назад
10 лет назад
10 лет назад