• Предмет: Алгебра
  • Автор: barabahka53
  • Вопрос задан 10 лет назад

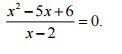
Помогите решить уравнение !!! Срочно

Приложения:

Ответы

Ответ дал: sirca
0
x neq 2\x^2-5x+6=0\(x-2)(x-3)=0\x_1=2\x_2=3
Первый корень не подходит
Ответ: х=3
Ответ дал: Alenchik360
0
Если уравнение равно 0, значит одна его часть будет равна 0. Сначала за ноль берем первую часть (x2-5x+6):
0:(x-2)=0
x-2=0 (0×0)
x=2

Вторую часть мы не можем взять за 0, так как делить на 0 нельзя


Вас заинтересует