• Предмет: Алгебра
  • Автор: Аноним
  • Вопрос задан 11 лет назад

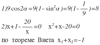
1. Найдите значение выражения 9cos2a,если известно,что sina=1/3;a принадлежит (пи/2;пи).

 

2. Решите уравнение x+1-20/x=0.В ответе укажите сумму корней.

Ответы

Ответ дал: palilov2436
0

1)во вложении

2)во вложении

 

Приложения:
Вас заинтересует