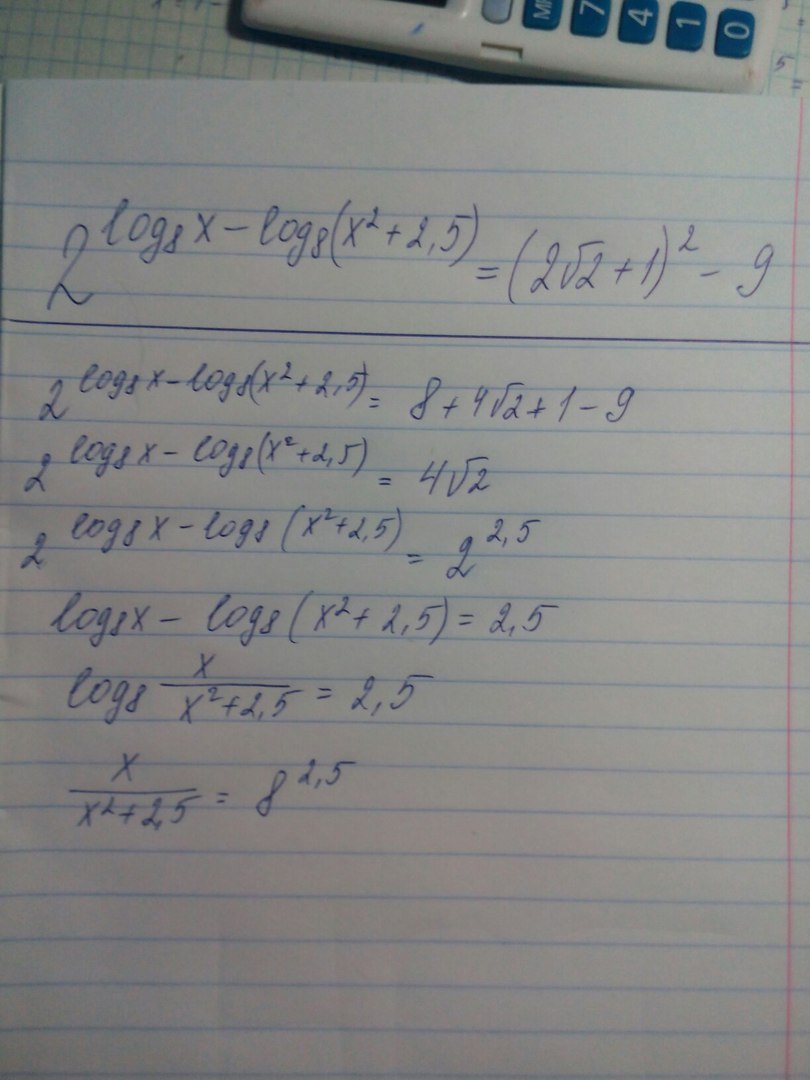
Подскажите что можно сделать с этим уравнением. Дошел до этого, а дальше не понимаю что... ???
Приложения:

Ответы
Ответ дал:
0
решить его конечно же а чтот ты думаешь
Ответ дал:
0
я в 11. зачем тогда в комментариях что-то писать?!
Ответ дал:
0
ты спросил что делать??
Ответ дал:
0
я ответил
Ответ дал:
0
очень смешно.
Ответ дал:
0
я такой))
Вас заинтересует
2 года назад
7 лет назад
9 лет назад
9 лет назад
10 лет назад