• Предмет: Алгебра
  • Автор: keenneenenene
  • Вопрос задан 11 лет назад

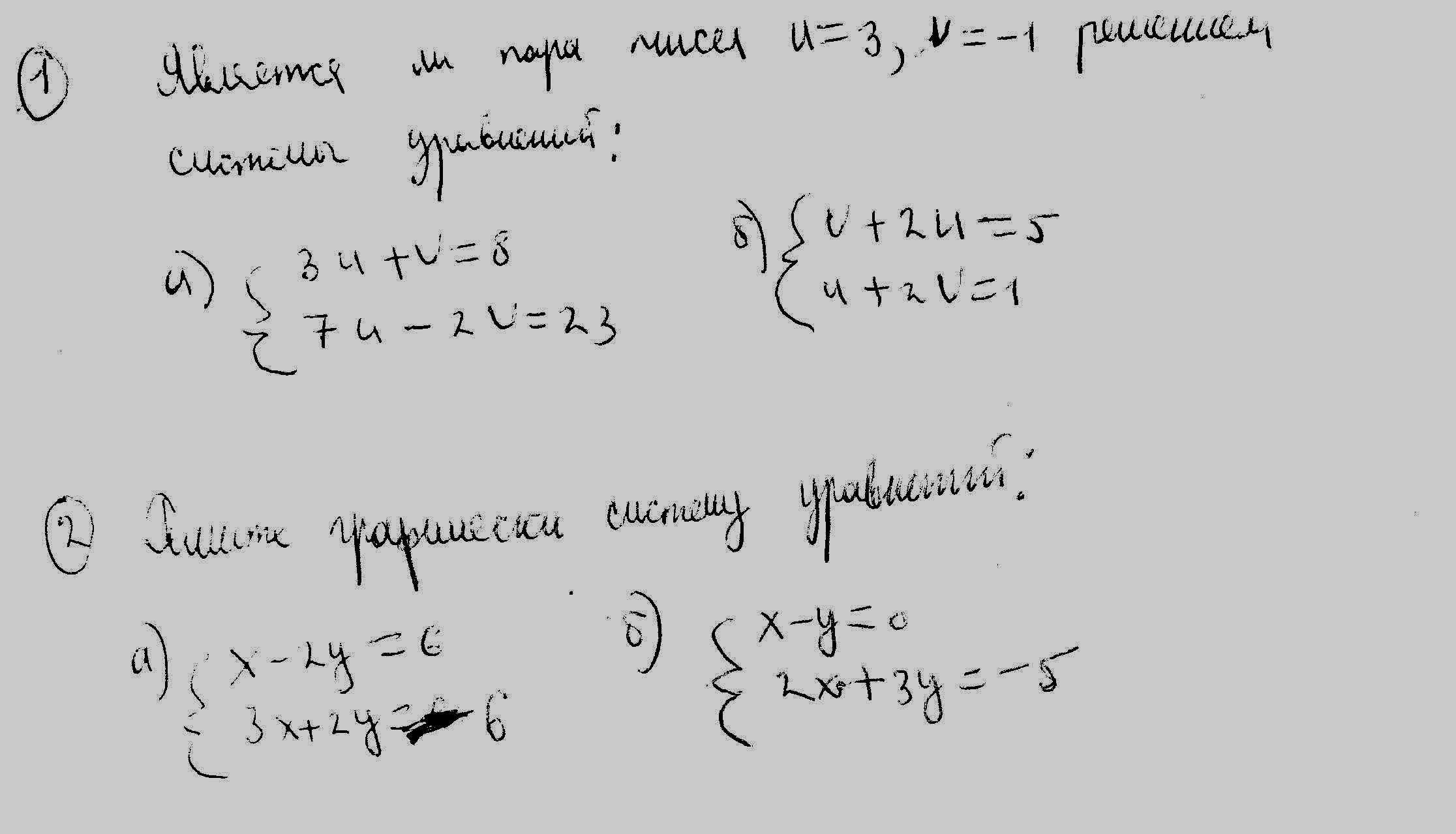
7 класс. Объясните пожалуйста как делать это задание оно по теме система уравнений, очень хочу понять, но не понимаю, ПОМОГИТЕ. на 1 картинке - это образец, как надо расписывать его, а на 2 - задание. Я ничего не понимаю (((

 

 

Приложения:

Ответы

Ответ дал: sqor
0

в задание а всё достаточно просто, тебе просто требуется в принципе букву V основной, то есть выразить её. в данном случае получиться V=8-3u

вторую строчку переделываешь также, но при этом делишь на 2, потому что требуеться выразить только одну V. получаеться -2V=23-7U .теперь меняем знаки на противоположные, чтобы не запутаться, получаеться 2V=-23+7U. а вот теперь уже делим получившееся на 2 и получаем, что V=-11,5+3,5U.

после этого ты получаешь ту систему уранения от которой уже можно исходить.

V=8-3u

V=-11,5+3,5U

 

дальше строишь таблицу и подбираешь подходящие числа, после чего строишь график в системе.

Вас заинтересует