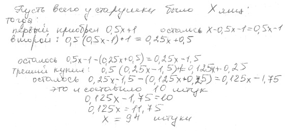
Старушка принесла на рынок яйца. Первому покупателю она продала половину всего запаса и одно яйцо. Второй взял половину остатка и одно яйцо. Третий купил половину нового остатка и одно яйцо. Второй взял половину остатка и одно яйцо. Третий купил половину нового остатка и одно яйцо. В корзине остался десяток яиц. Сколько яиц принесла старушка на рынок?
Ответы
Ответ дал:
0
изначально у бабушки было 94 яйца
Приложения:

Вас заинтересует
2 года назад
2 года назад
8 лет назад
8 лет назад
10 лет назад
10 лет назад