• Предмет: Алгебра
  • Автор: MarcoB
  • Вопрос задан 10 лет назад

Тригонометрия, решить уравнение

Приложения:

Ответы

Ответ дал: TARTILLO
0
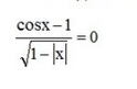
(cosx-1)/[√(1-IxI)
одз: х≠1,х≠-1,     ⇒  cosx-1=0   cosx=1  x=πn,  n∈Z.


Вас заинтересует