• Предмет: Геометрия
  • Автор: AlexM13
  • Вопрос задан 10 лет назад

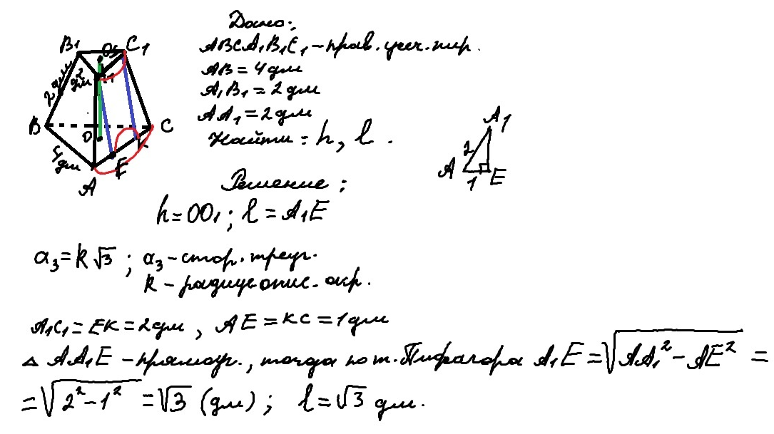
Помогите, пожалуйста, дорешить задачу. Буду чрезмерно благодарен.

Приложения:

Ответа на этот вопрос пока нет. Попробуйте найти его через форму поиска.

Вас заинтересует