• Предмет: Математика
  • Автор: ПолинаЗайка1
  • Вопрос задан 10 лет назад

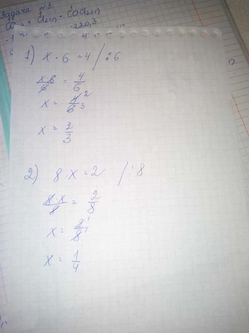
Найдите неизвестное число д) x*6=4 е)8*x=2

Ответы

Ответ дал: Maruka19
0
1)икс равен 2/3 
2) икс равен 1/4

Приложения:
Ответ дал: ПолинаЗайка1
0
а решение плизз
Ответ дал: Maruka19
0
х=4/6 дробь сокращяем и получаем х=2/3
Ответ дал: Maruka19
0
х*8=2 ,х=2/8 ,х=1/4
Ответ дал: ПолинаЗайка1
0
а как ты получила 4/ и 2/8
Вас заинтересует