• Предмет: Алгебра
  • Автор: Грелюшка
  • Вопрос задан 11 лет назад

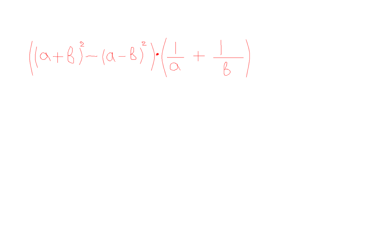
Помогите решить задание во вложениях

Приложения:

Ответы

Ответ дал: Kemina
0

(а^2 +2ав + в^2 -a^2-b^2+2ав)*(в+а/ав)=4ав*в+а/ав=4(в+а)

Вас заинтересует