Ответы
Ответ дал:
0
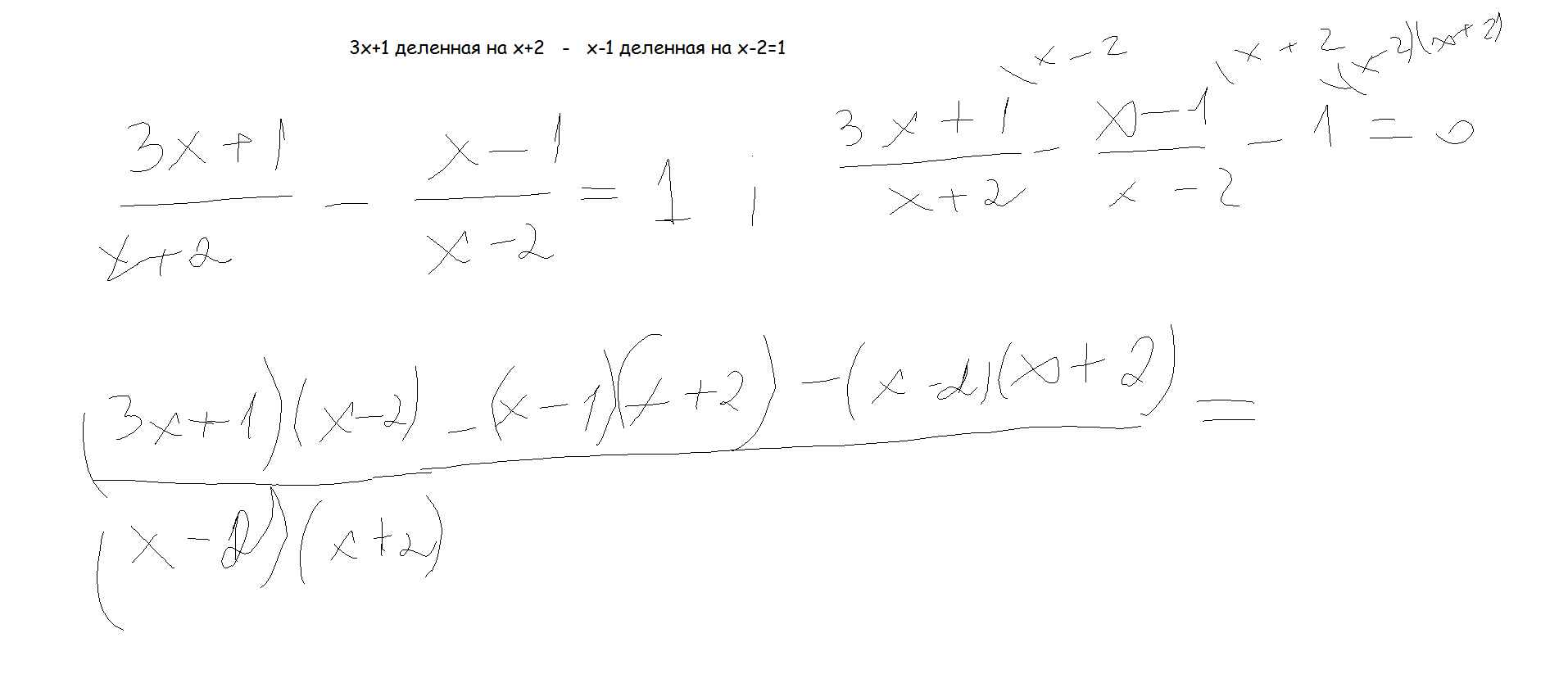
сначала смотрите файл 1 а потом файл 2
Приложения:


Ответ дал:
0
1) cначала приводишь к общему знаменателю. Получается:
3x^2 -6x +x-2 x^2+2x-x-2 x^2 - 4
----------------- — ------------ — --------- =0
(x+2) (x-2) (x+2) (x-2) (x+2)(x-2)
3x^2-6x+x-2-x^2-2x+x+2-x^2-2x+2x+4
----------------------------------------------- =0
(x+2)(x-2)
Все сокращаем и получается:
x^2-6x+4
------------ = 0
(x+2)(x-2)
И все решаем систему..
x^2-6x+4 находим два корня через дискриминант
А второе на координатной прямой обозначаем x, которые не могут быть
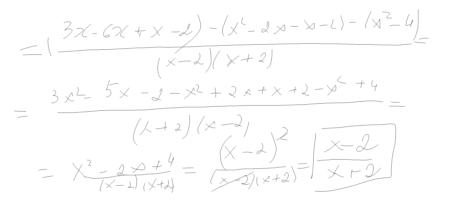
3x^2 -6x +x-2 x^2+2x-x-2 x^2 - 4
----------------- — ------------ — --------- =0
(x+2) (x-2) (x+2) (x-2) (x+2)(x-2)
3x^2-6x+x-2-x^2-2x+x+2-x^2-2x+2x+4
----------------------------------------------- =0
(x+2)(x-2)
Все сокращаем и получается:
x^2-6x+4
------------ = 0
(x+2)(x-2)
И все решаем систему..
x^2-6x+4 находим два корня через дискриминант
А второе на координатной прямой обозначаем x, которые не могут быть
Приложения:


Вас заинтересует
2 года назад
2 года назад
8 лет назад
8 лет назад
10 лет назад
10 лет назад
10 лет назад