• Предмет: Математика
  • Автор: макс529
  • Вопрос задан 10 лет назад

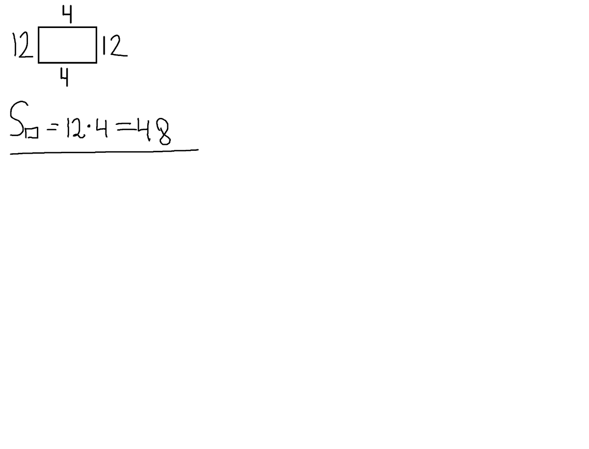
Вычисли площадь прямоугольника периметр которого равен 32 сантиметра,а длина одной стороны состовляет третью часть от длины другой стороны

Ответы

Ответ дал: Makc1285
0
Держи ответ.Держи ответ.Держи ответ.Держи ответ.Держи ответ.
Приложения:
Вас заинтересует