• Предмет: Математика
  • Автор: Alex1930
  • Вопрос задан 11 лет назад

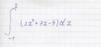
Помогите решить интеграл, позьба распишите все понятно. Пример на фото.

Приложения:

Ответы

Ответ дал: Александр175
0

Пишу в кртце, так как длинное решение Вы уже удалили =))
замените (х + 3) на у. d(x) = d(x + 3) = d(y). Затем корень шестой степени от y замените на z. Потом сокращай и все легко.

Вас заинтересует