• Предмет: Алгебра
  • Автор: Ученица017
  • Вопрос задан 10 лет назад

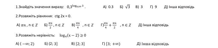
помогите по алгебре 30 баллов)

Приложения:

Ответы

Ответ дал: Елена144
0
смотри решение на фотографии
Приложения:
Вас заинтересует