• Предмет: Алгебра
  • Автор: Аноним
  • Вопрос задан 11 лет назад

Пожалуйста решите три примера ПОДРОБНО! (СМ ФОТО)

 

Приложения:

Ответы

Ответ дал: VekaSolnce
0

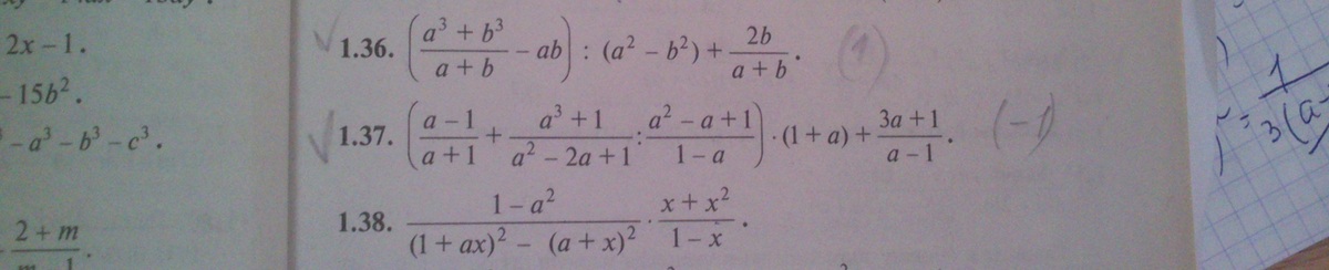
(frac{a^3+b^3}{a+b}-ab):(a^2-b^2)+frac{2b}{a+b}=

(frac{(a+b)(a^2-ab+b^2)}{a+b}-ab)*frac{1}{(a-b)(a+b)}+frac{2b}{a+b}=

frac{a^2-ab+b^2-ab}{(a-b)(a+b)}+frac{2b}{a+b}=frac{a^2-2ab+b^2}{(a-b)(a+b)}+frac{2b}{a+b}=frac{(a-b)^2}{(a-b)(a+b)}+frac{2b}{a+b}=

frac{a-b}{a+b}+frac{2b}{a+b}=frac{a+b}{a+b}=1 

 

(frac{a-1}{a+1}+frac{a^3+1}{a^2-2a+1}:frac{a^2-a+1}{1-a})*(1+a)+frac{3a+1}{a-1}=

(frac{a-1}{a+1}+frac{(a+1)(a^2-a+1)}{(a-1)^2}*frac{1-a}{a^2-a+1})*(1+a)+frac{3a+1}{a-1}=

(frac{a-1}{a+1}+frac{(a+1)(a^2-a+1)}{(1-a)^2}*frac{1-a}{a^2-a+1})*(1+a)+frac{3a+1}{a-1}=

 (frac{a-1}{a+1}+frac{(a+1)}{(1-a)})*(1+a)+frac{3a+1}{a-1}=frac{a-1}{1}+frac{(a+1)^2}{(1-a)}+frac{3a+1}{a-1}=

frac{a-1}{1}-frac{(a+1)^2}{a-1}+frac{3a+1}{a-1}=frac{(a-1)^2-(a+1)^2+3a+1}{a-1}= 

 frac{(a^2-2a+1-a^2-2a-1+3a+1}{a-1}=frac{1-a}{a-1}=-1

Вас заинтересует