Ответы
Ответ дал:
0
Ответ ниже в фотографии
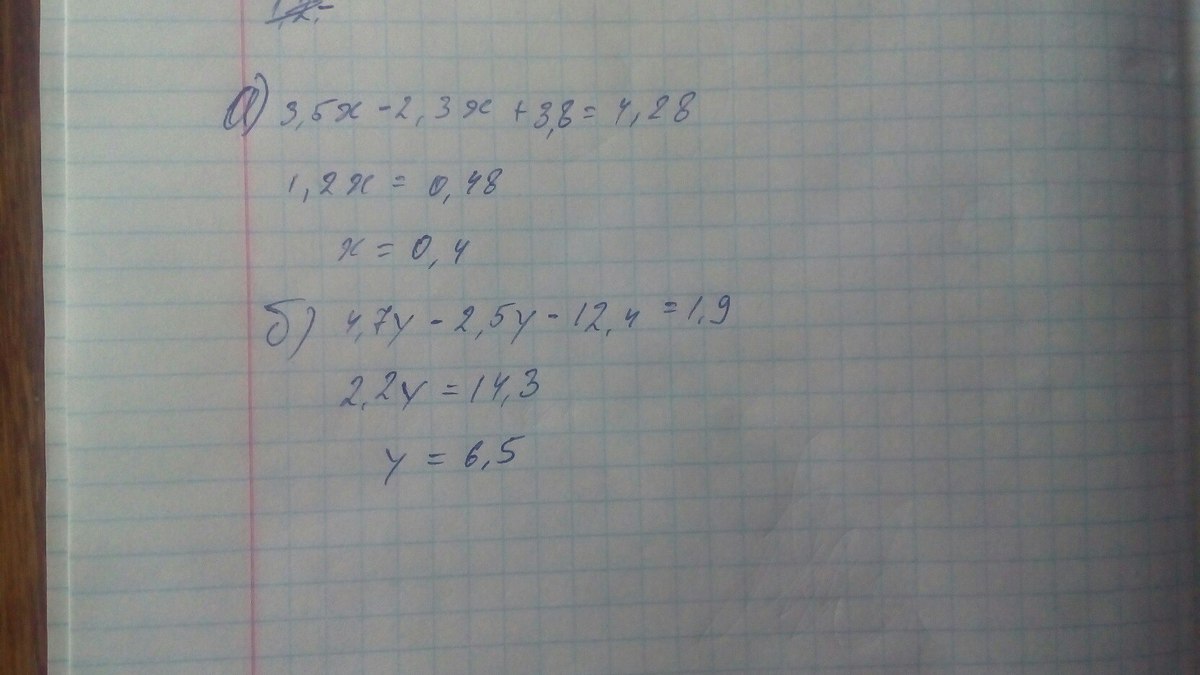
а)Сначала вычитаем иксы, получаем 1,2x
Далее переносим 3,8 вправо с противоположным знаком и получаем 0,48
Далее нужно поделить обе части уравнения на 1,2
б)Вычитаем игрики, получая 2,2y. При раскрытии скобок нужно поменять все знаки на противоположные, так как перед скобкой стоит минус
Переносим 12,4 вправо с противоположным знаком, получая 14,3
Делим обе части на 2,2
а)Сначала вычитаем иксы, получаем 1,2x
Далее переносим 3,8 вправо с противоположным знаком и получаем 0,48
Далее нужно поделить обе части уравнения на 1,2
б)Вычитаем игрики, получая 2,2y. При раскрытии скобок нужно поменять все знаки на противоположные, так как перед скобкой стоит минус
Переносим 12,4 вправо с противоположным знаком, получая 14,3
Делим обе части на 2,2
Приложения:

Ответ дал:
0
надо по действиям я пятый класс
Ответ дал:
0
по решению можно сделать дейсвия
Ответ дал:
0
пойдет?
Вас заинтересует
2 года назад
2 года назад
7 лет назад
7 лет назад
9 лет назад
9 лет назад