Ответы
Ответ дал:
0
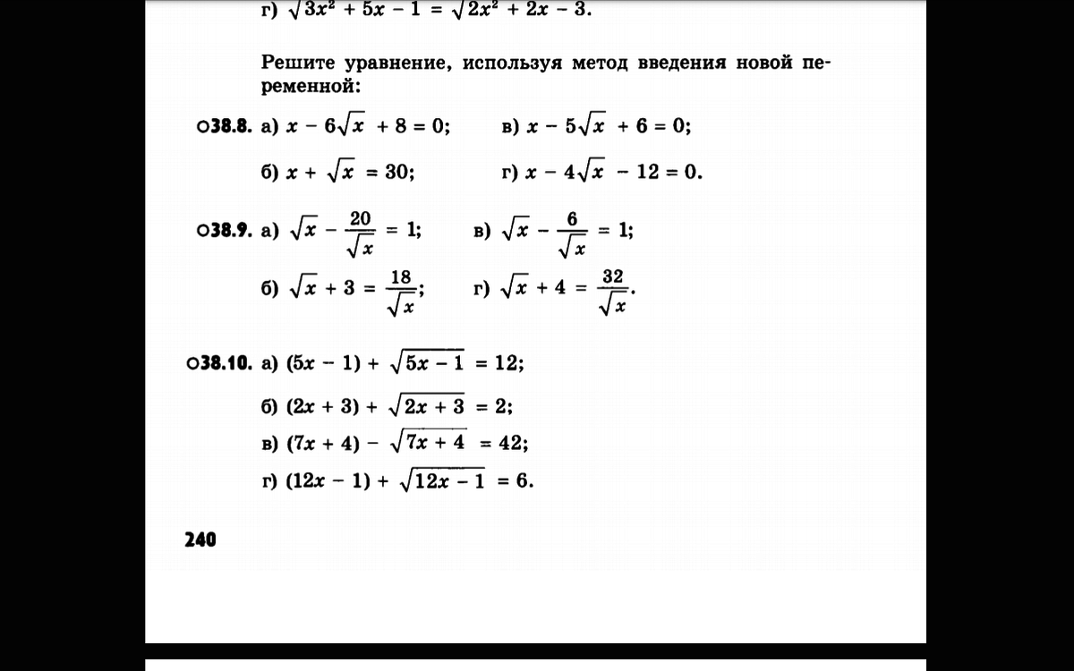
( 7x + 4 ) - √ ( 7x + 4 ) = 42
пусть √ ( 7x + 4 ) = a ; a > 0 ; 7x + 4 > 0 ; 7x > - 4 ; x > - 4/7
a² - a = 42
a² - a - 42 = 0
D = 1 + 168 = 169 ; √ 169 = 13
a1 = ( 1 + 13 ) : 2 = 7
a2 = ( 1 - 13 ) : 2 = - 6 ( < 0 )
√ ( 7x + 4 ) = 7
7x + 4 = 49
7x = 45
x = 6 ( 1/15 ) ( > - 4/7 )
ОТВЕТ х = 6 ( 1/15 )
пусть √ ( 7x + 4 ) = a ; a > 0 ; 7x + 4 > 0 ; 7x > - 4 ; x > - 4/7
a² - a = 42
a² - a - 42 = 0
D = 1 + 168 = 169 ; √ 169 = 13
a1 = ( 1 + 13 ) : 2 = 7
a2 = ( 1 - 13 ) : 2 = - 6 ( < 0 )
√ ( 7x + 4 ) = 7
7x + 4 = 49
7x = 45
x = 6 ( 1/15 ) ( > - 4/7 )
ОТВЕТ х = 6 ( 1/15 )
Вас заинтересует
3 года назад
3 года назад
10 лет назад
10 лет назад
11 лет назад