• Предмет: Математика
  • Автор: Амалия621
  • Вопрос задан 11 лет назад

Сделайте номер 997 б) г)
Прошу! Помогите!

Приложения:

Ответы

Ответ дал: vivalaviva12
0

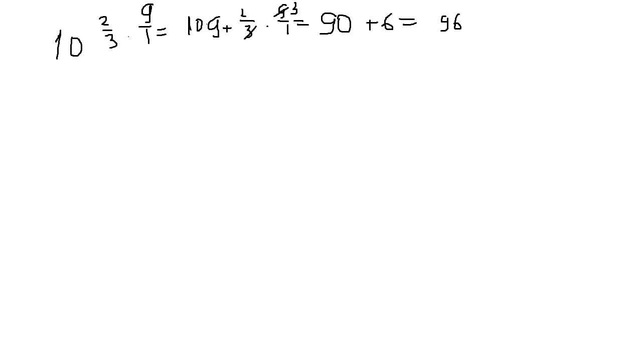
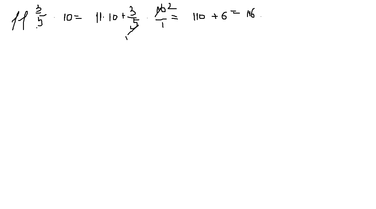
Решение во вложениях

Ответ г) 116

б)96

P.S. сорри за каракульки :)

 

Приложения:
Вас заинтересует