• Предмет: Математика
  • Автор: Аноним
  • Вопрос задан 10 лет назад

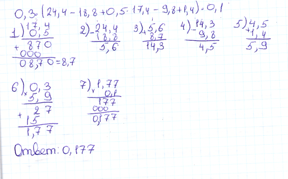
0,3*(24,4-18,8+0,5*17,4-9,8+1,4)*0,1
кто решит дам баллы
даю 25 баллов кто решит в столбик

Ответы

Ответ дал: Lill1998
0
Посмотри)))Как то так)
Приложения:
Вас заинтересует