Ответы
Ответ дал:
0
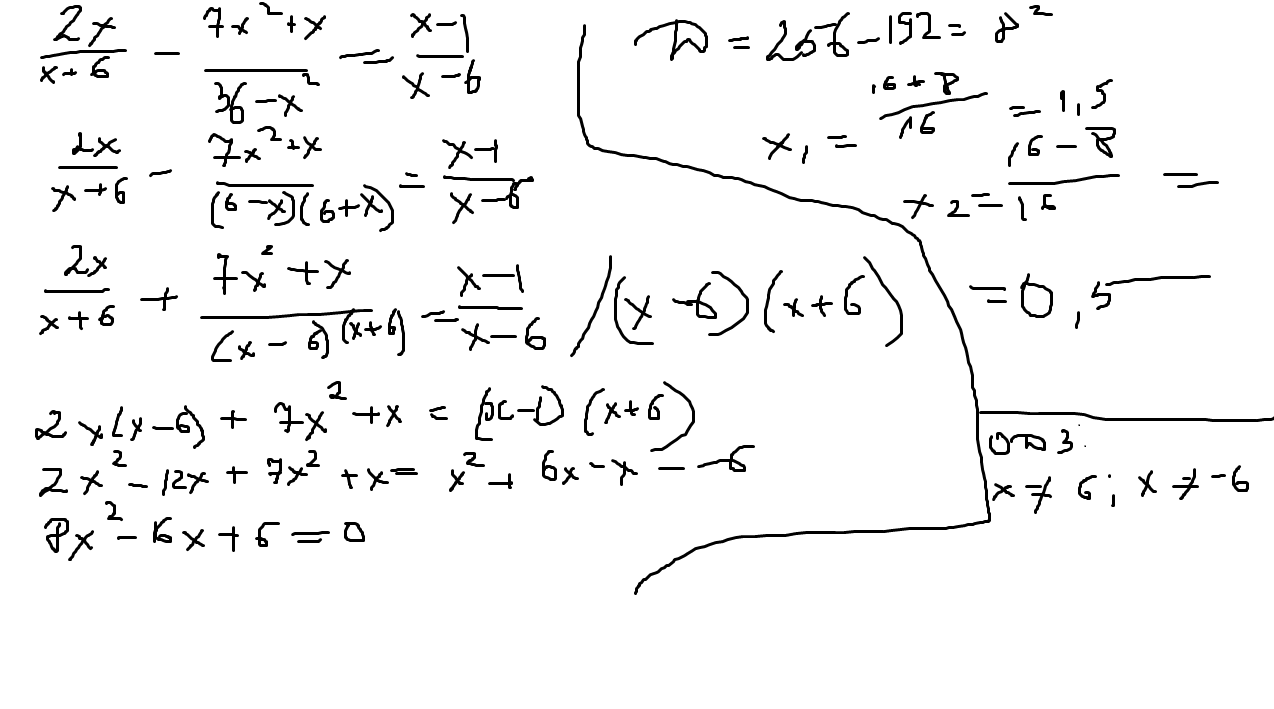
Решение во вложениях.
Ответ: x1 = 1,5
x2 = 0,5
Приложения:

Вас заинтересует
2 года назад
8 лет назад
8 лет назад
10 лет назад
10 лет назад