• Предмет: Алгебра
  • Автор: uzbechka61
  • Вопрос задан 10 лет назад

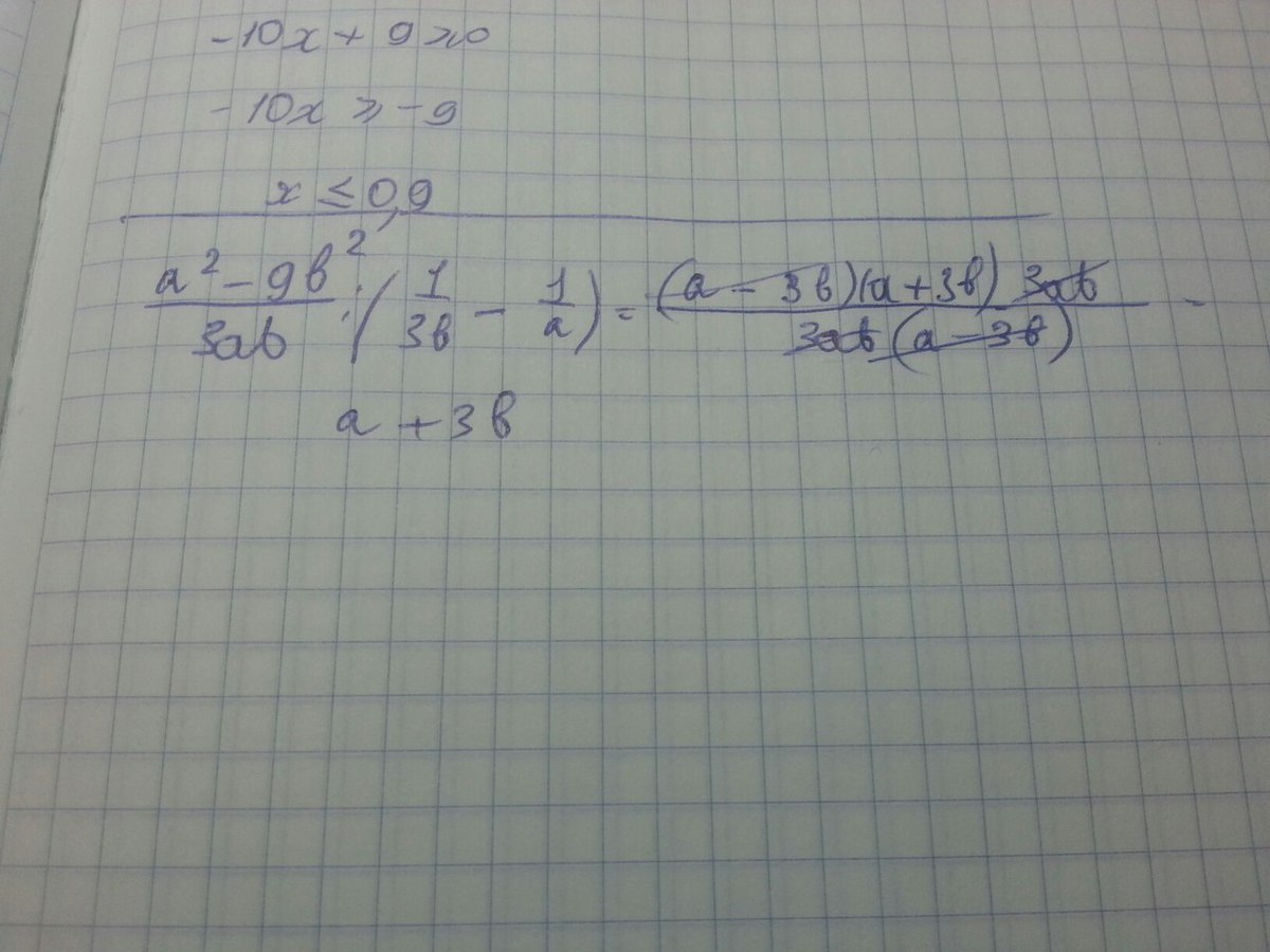
Упростите выражение a² - 9b²/3ab : (1/3b - 1/a)=

Ответы

Ответ дал: Елена144
0
смотри решение на фото
Приложения:
Вас заинтересует