• Предмет: Математика
  • Автор: екатерина13265
  • Вопрос задан 10 лет назад

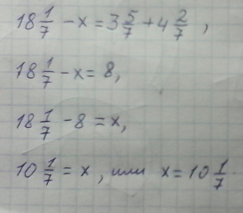
Помогите решить уравнение 18целых1/7 минус икс равно 3целых5/7 плюс 4целых2/7

Ответы

Ответ дал: webmanager
0
18 1/7-х=3 5/7+4 2/7
18 1/7-х=56/7
127/7-х=56/7
х=127/7-56/7
х=10 1/7
Ответ дал: prostotom
0
Решение задания в файле.
Приложения:
Вас заинтересует