• Предмет: Алгебра
  • Автор: ronanrain
  • Вопрос задан 10 лет назад

Помогите срочно! Очень нужно.

Приложения:

Ответы

Ответ дал: Найт7
0
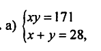
х=19;у=9 Решил подбором)
Ответ дал: Найт7
0
Не за что.
Вас заинтересует