Ответы
Ответ дал:
0
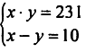
выразим из 2 уравнения х
х=10+у(подстановка)
поставим в 1:
у*(10+у)=231
у^2+10y-231=0
это приведенное уравнение, по т. виета найдем корни:
у1+у2=-10
у1*у2=-231
у1=11
у2=-21
теперь эти значения подставим в выражение х=10+у
х=10+11
х=21(пара чисел 21, 11)
х=10+(-21)
х=-11 (-11, -21)
х=10+у(подстановка)
поставим в 1:
у*(10+у)=231
у^2+10y-231=0
это приведенное уравнение, по т. виета найдем корни:
у1+у2=-10
у1*у2=-231
у1=11
у2=-21
теперь эти значения подставим в выражение х=10+у
х=10+11
х=21(пара чисел 21, 11)
х=10+(-21)
х=-11 (-11, -21)
Вас заинтересует
3 года назад
3 года назад
8 лет назад
8 лет назад
10 лет назад