Ответы
Ответ дал:
0
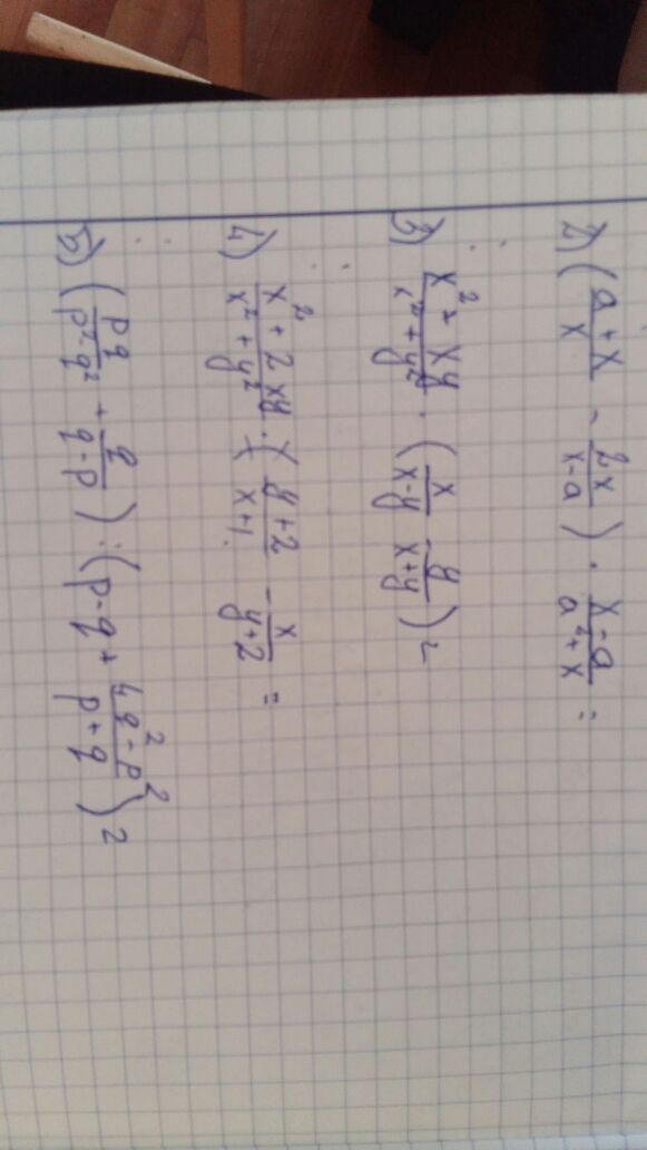
3) в скобках
(x(x+y) -y(x-y)) /(x-y)(x+y) = (x² +xy -xy +y²) /(x² -y²) =
(x² +y²) /(x² -y²)
умножение
x(x+y) *(x²+y²) /(x²+y²)(x²-y²) =x(x +y) /(x² -y²) =x(x +y) / (x +y)(x -y) =x /(x -y)
(x(x+y) -y(x-y)) /(x-y)(x+y) = (x² +xy -xy +y²) /(x² -y²) =
(x² +y²) /(x² -y²)
умножение
x(x+y) *(x²+y²) /(x²+y²)(x²-y²) =x(x +y) /(x² -y²) =x(x +y) / (x +y)(x -y) =x /(x -y)
Вас заинтересует
2 года назад
2 года назад
8 лет назад
8 лет назад
10 лет назад