• Предмет: Геометрия
  • Автор: Катерина9015
  • Вопрос задан 11 лет назад

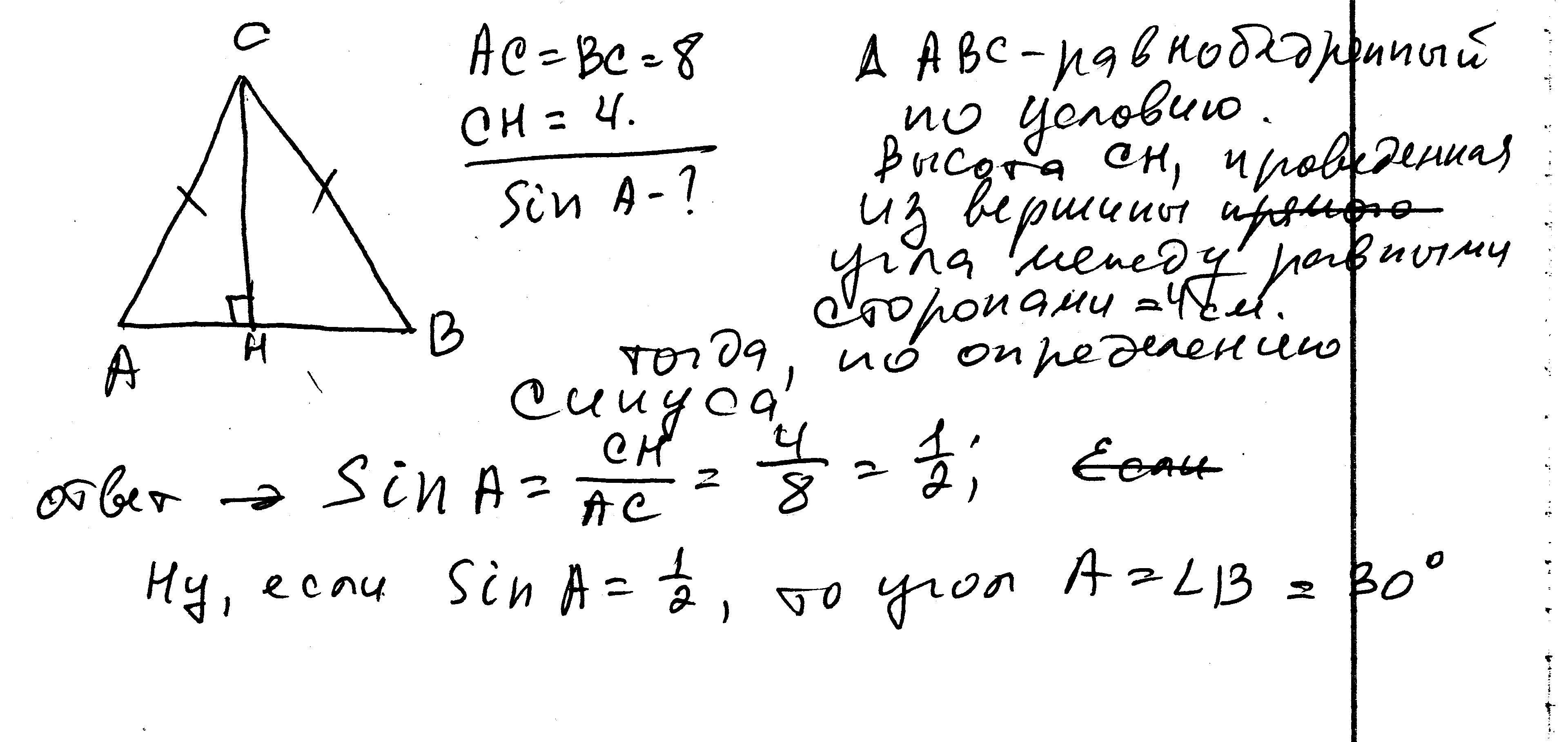
в треугольнике абс ас=вс=8,высота СН=4.найдите синус а

Ответы

Ответ дал: ужнеужели
0
решение в скане...................
Приложения:
Вас заинтересует