Ответы
Ответ дал:
0
Я конечно не совсем уверена, но вроде так
Приложения:
Ответ дал:
0
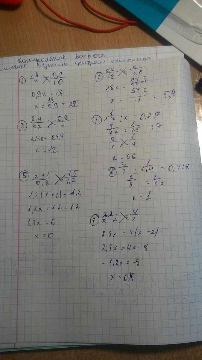
1. x=1,8*10/0,9=18/0,9=180/9=20
2. x=27*3,6/18=27*0,2=5,4
3. x=32*0,9/2,4=28,8/2,4=288/24=12
4. x=(8/7)*7/0,2=8/0,2=40
5. x+1=0,8*15/1,2
x+1=12/1,2
x+1=10
x=10-1=9
6. (3/7):(15/14)=0,4:x
(3/7)*(14/15)=0,4:x
2/5=0,4:x
x=0,4:(2/5)=0,4/0,4=1
7. 2,8*x=4*(x-2)
2,8*x=4*x-8
2,8*x-4*x=-8
-1,2*x=-8
x=-8/-1,2=80/12=20/3
2. x=27*3,6/18=27*0,2=5,4
3. x=32*0,9/2,4=28,8/2,4=288/24=12
4. x=(8/7)*7/0,2=8/0,2=40
5. x+1=0,8*15/1,2
x+1=12/1,2
x+1=10
x=10-1=9
6. (3/7):(15/14)=0,4:x
(3/7)*(14/15)=0,4:x
2/5=0,4:x
x=0,4:(2/5)=0,4/0,4=1
7. 2,8*x=4*(x-2)
2,8*x=4*x-8
2,8*x-4*x=-8
-1,2*x=-8
x=-8/-1,2=80/12=20/3
Приложения:
Вас заинтересует
3 года назад
3 года назад
8 лет назад
8 лет назад
10 лет назад
10 лет назад
10 лет назад