• Предмет: Алгебра
  • Автор: gfdgfghf
  • Вопрос задан 10 лет назад

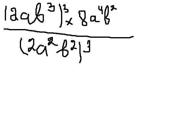
выполните действия,пожалуйста:3

Приложения:

Ответы

Ответ дал: skvrttt
0
frac{(2ab^3)^3*8a^4b^2}{(2a^2b^2)^3}=frac{8a^3b^9*8a^4b^2}{8a^6b^6}=frac{64a^7b^1^1}{8a^6b^6}=8ab^5
Ответ дал: gfdgfghf
0
спасибо тебе))
Вас заинтересует