• Предмет: Математика
  • Автор: Ыркиоуа
  • Вопрос задан 10 лет назад

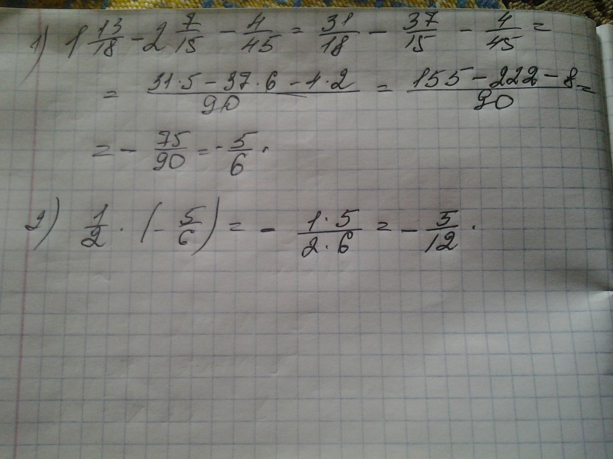
решите пример (1 13/18-2 7/15-4/45)*1/2

Ответы

Ответ дал: motylskaya
0
Ну как-то так........................
Приложения:
Вас заинтересует