Ответы
Ответ дал:
0
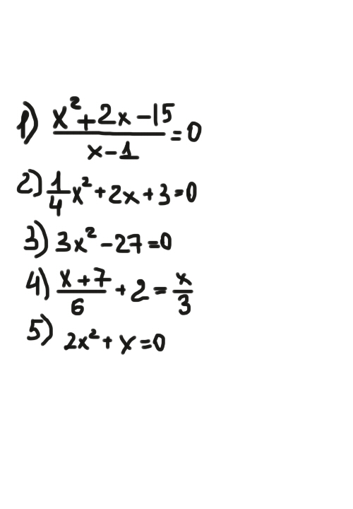
1)ОДЗ:x
1
+2x-15=0
D=4-4*1*(-15)=64
=3
=-5
Ответ:3;-5
2)
+2x+3=0
D=4-4*
*3=4-3=1
=-2
=-6
Ответ:-2;-6
3)3
-27=0
3(
-9)=0
-9=0
=9
x=+-3
Ответ:+-3
4)
+2=
+2-
=0|*6
x+7+12-3x=0
-2x=-19
2x=19
x=9,5
Ответ:9,5
5)2
+x=0
x(2x+1)=0
=0;
=
Ответ:0;
D=4-4*1*(-15)=64
Ответ:3;-5
2)
D=4-4*
Ответ:-2;-6
3)3
3(
x=+-3
Ответ:+-3
4)
x+7+12-3x=0
-2x=-19
2x=19
x=9,5
Ответ:9,5
5)2
x(2x+1)=0
Ответ:0;
Вас заинтересует
2 года назад
2 года назад
8 лет назад
8 лет назад
10 лет назад
10 лет назад