• Предмет: Математика
  • Автор: Юля3737
  • Вопрос задан 10 лет назад

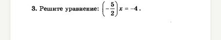
помогите пожалуйста с математикой.

Приложения:

Ответы

Ответ дал: ДашулькаАнанко
0
умножаем всё на (-2)
5х=8
х=8/5
Вас заинтересует