• Предмет: Физика
  • Автор: SELENATORnatasha
  • Вопрос задан 10 лет назад

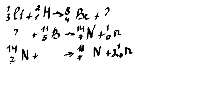
Решите пожалуйста 1 .
2 и 3 хочу сверить

Приложения:

Ответы

Ответ дал: fatt52
0

1) нейтрон  1n0

2) альфа-частица 4He2

3) 4 нейтрона 1n0 (если справа азот 16, - плохо видно массовое число)

=====================

Ответ дал: SELENATORnatasha
0
нет , там 18) спасибо большое!!
Вас заинтересует