• Предмет: Алгебра
  • Автор: lapochka1
  • Вопрос задан 10 лет назад

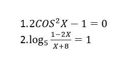
Помогите решить....

Приложения:

Ответа на этот вопрос пока нет. Попробуйте найти его через форму поиска.

Вас заинтересует
10 лет назад