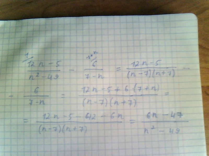
Помогите решить 2 примера ; Задание Найдите сумму или разность алгебраических дробей. ( нужно расписать решение ) во вложених
Приложения:

Ответы
Ответ дал:
0
/////////////////////////////////////////////////////////////////////////////////////////////////////////////////////////////////////////////////////////////////////////////
Приложения:

Ответ дал:
0
Решение во вложении..!
Приложения:


Вас заинтересует
2 года назад
2 года назад
8 лет назад
8 лет назад
10 лет назад
10 лет назад
10 лет назад