• Предмет: Алгебра
  • Автор: qwoos
  • Вопрос задан 10 лет назад

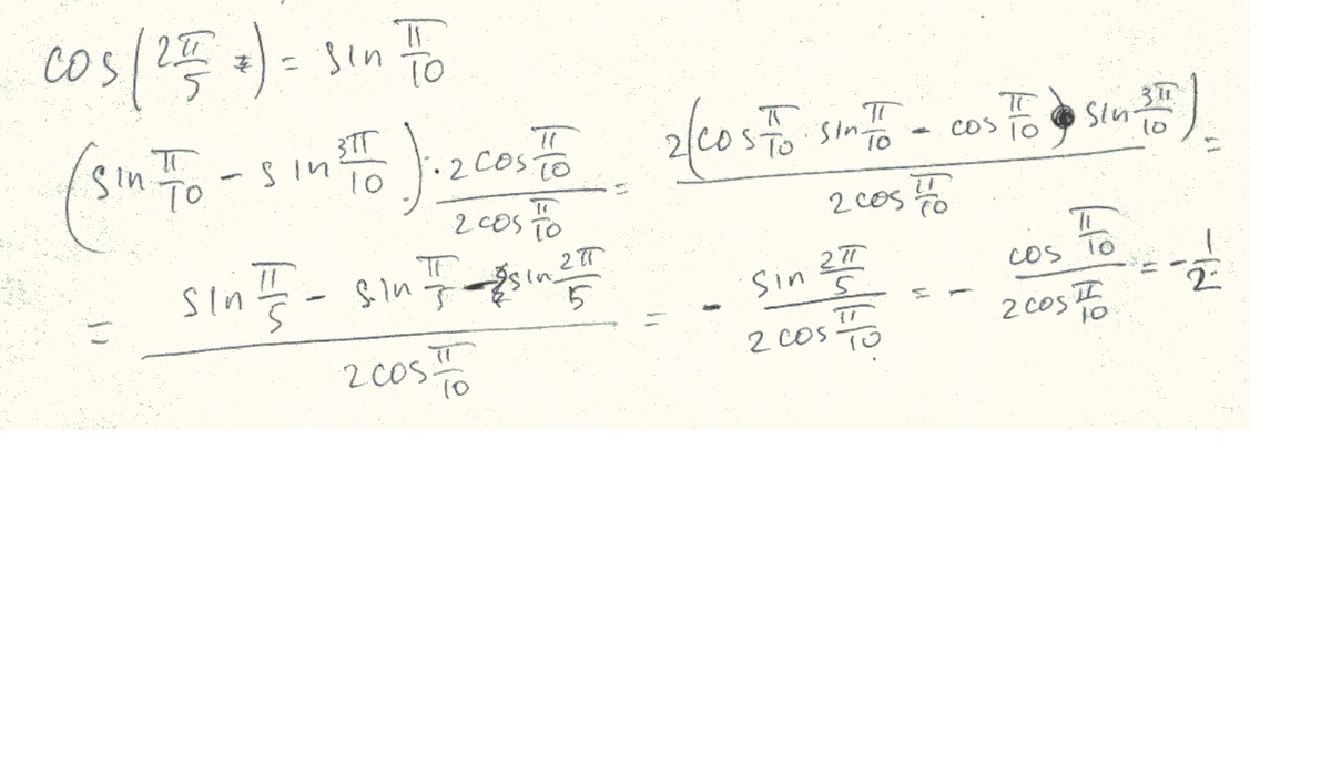
Вычислите без применения таблиц cos  frac{2 pi }{5} - sin  frac{3 pi }{10}

Ответы

Ответ дал: sirca
0
вычисления смотри на фото
Приложения:
Ответ дал: sirca
0
а нее, сейчас переделаю
Ответ дал: sirca
0
все
Вас заинтересует