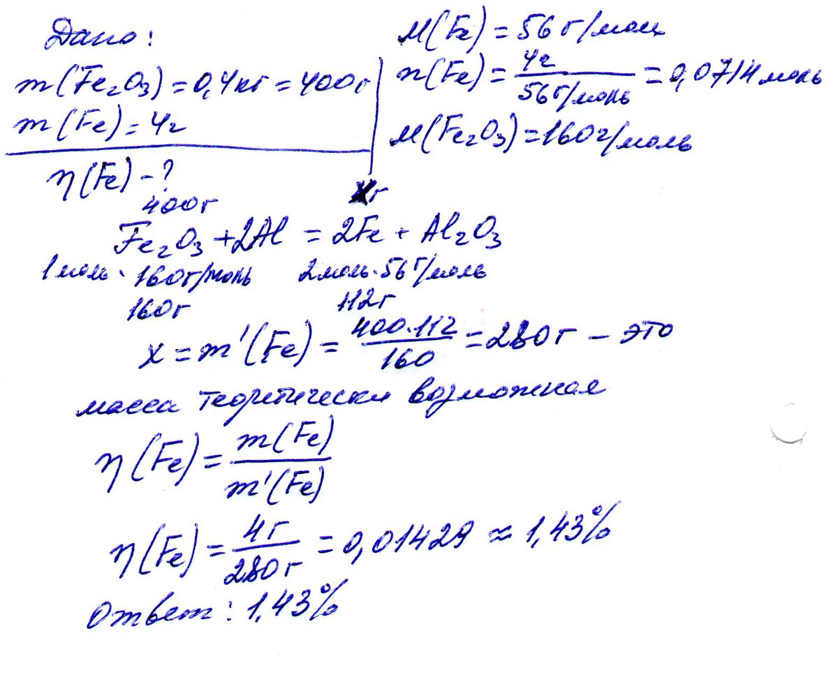
при восстановлении оксида железа массой 0.4 кг алюминия получено 4 грамма железа. сколько это % от теоретической?
Ответы
Ответ дал:
0
Дано:
m(Fe2O3) = 0.4кг = 400 г
m(Fe) = 4 г
решение в приложении
m(Fe2O3) = 0.4кг = 400 г
m(Fe) = 4 г
решение в приложении
Приложения:
Вас заинтересует
2 года назад
2 года назад
8 лет назад
10 лет назад
10 лет назад