• Предмет: Алгебра
  • Автор: super1997
  • Вопрос задан 11 лет назад

Алгебра, 8 класс

Вложения

Приложения:

Ответы

Ответ дал: DarinaLanson
0

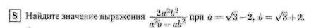
frac{2a^2b^2}{a^2b-ab^2}=frac{2a^2b^2}{ab(a-b)}=frac{2ab}{a-b}a=sqrt{3}-2 ;b=sqrt{3}+2; frac{2ab}{a-b}=frac{2*(sqrt{3}-2)*(sqrt{3}+2)}{sqrt{3}-2-sqrt{3}-2}=frac{-2}{-4}=-0,5

 

Вас заинтересует