Ответы
Ответ дал:
0
10 мин и скину ок?Или как
Ответ дал:
0
оки
Ответ дал:
0
канеш
Ответ дал:
0
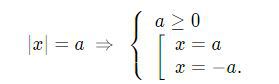
1) на фото
2)|-x|=7 a)-x=7 x=-7 и b) -х=-7 х=7
3)|4x|=8 a) 4x=8 x=2 b) 4x=-8 x=-2
4)|5x|=3 a) 5x=3 x=3/5 b) 5x=-3 x= - 3/5
5) |x|+3=7 |x|=7-3=4 a) x= - 4 b) x= 4
2)|-x|=7 a)-x=7 x=-7 и b) -х=-7 х=7
3)|4x|=8 a) 4x=8 x=2 b) 4x=-8 x=-2
4)|5x|=3 a) 5x=3 x=3/5 b) 5x=-3 x= - 3/5
5) |x|+3=7 |x|=7-3=4 a) x= - 4 b) x= 4
Приложения:
Вас заинтересует
8 лет назад
10 лет назад
10 лет назад