• Предмет: Алгебра
  • Автор: kristinamixajo
  • Вопрос задан 10 лет назад

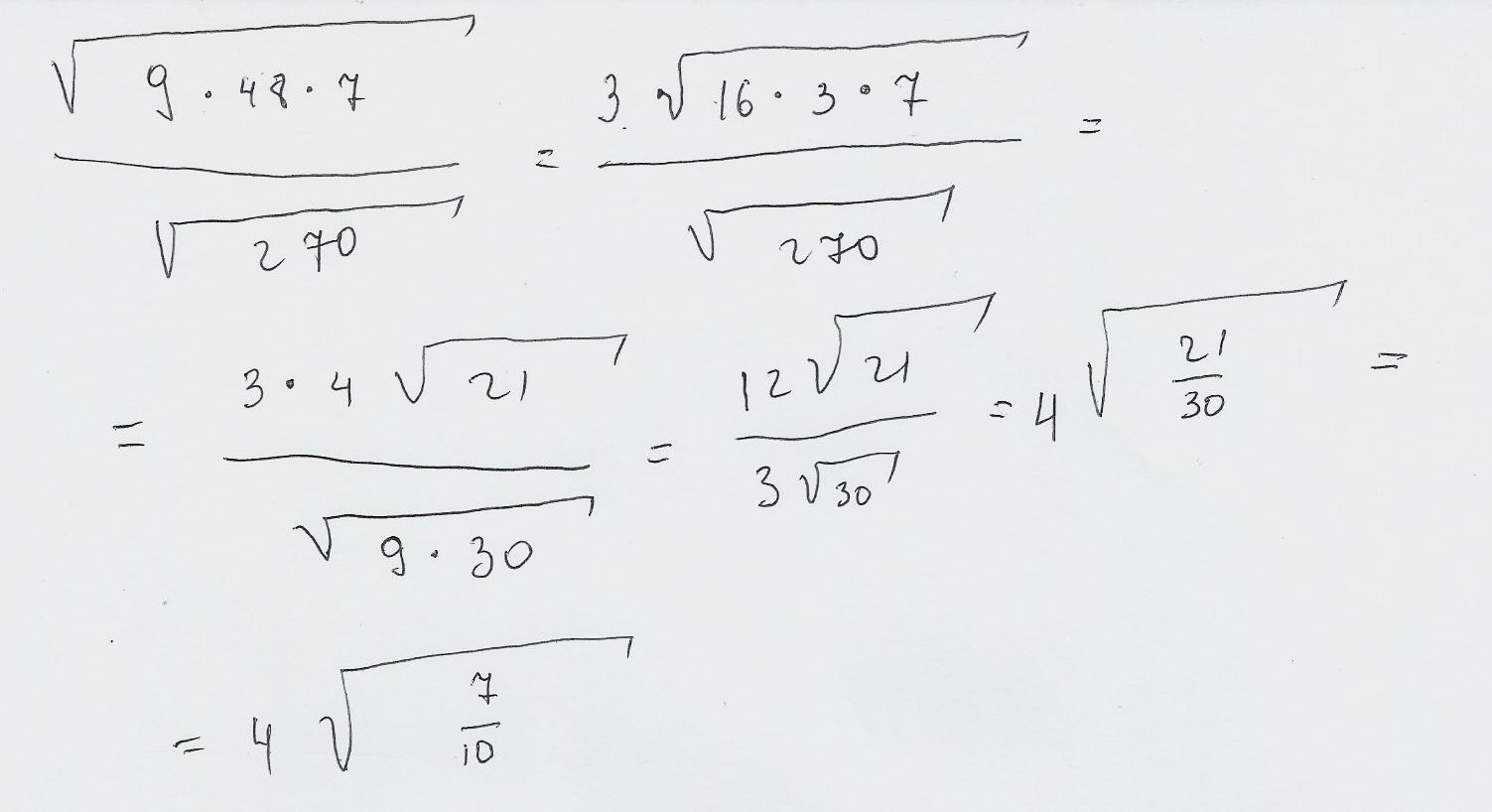
Найдите значение выражения; корень из 9 48 7 и разделить на корень из 270

Ответы

Ответ дал: Аноним
0

 displaystyle frac{sqrt{9cdot48cdot7}}{sqrt{270}}   =frac{3cdot4sqrt{21}}{3sqrt{30}}   =4sqrt{frac{21}{30}}  =4sqrt{frac{7}{10}}  =4sqrt{0.7}

Ответ дал: Нау4пок
0

Решение во вложении.

Приложения:
Вас заинтересует