• Предмет: Алгебра
  • Автор: ankakundas
  • Вопрос задан 10 лет назад

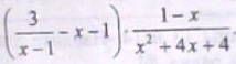
Помогите пожалуйста упростить выражение

Приложения:

Ответы

Ответ дал: MrHelper98
0
... = ((3-x^2+x-x+1)/(x-1)) * (1-x)/(x+2)^2=((4-x^2)/(x-1))*((1-x)/(x+2)^2)
 = - ((x+2)(x-2)/(x+1))*((1-x)/(x+2)^2=  (x-2)/(x+2)
Вас заинтересует