ПОМОГИТЕ! тема:Системы линейных уравнений с двумя переменными,6 класс.Ответы в учебнике:1)(-1;2)=2)(2;4)
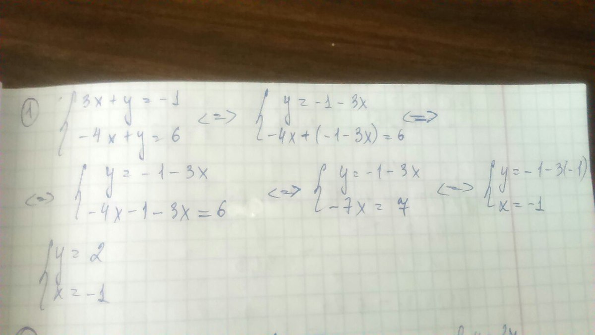
1) {3x+y=-1,
-4x+y=6
2){2x-y=0,
3х-2у=-2
Ответы
Ответ дал:
0
Привет ) принимай ответ )
Приложения:
Вас заинтересует
3 года назад
3 года назад
8 лет назад
8 лет назад
10 лет назад
10 лет назад
10 лет назад